一、H 橋電路概述
H 橋電路是一種通過控制四個開關器件的導通組合,實現對負載(如電機)電流方向切換的電路,從而改變負載的運動方向或輸出交流波形。其廣泛應用于電機控制、電源轉換等領域,具有重要的應用價值。
二、H 橋電路的構成與關鍵元件
H 橋電路由四個開關器件(如 MOSFET、IGBT 等)組成,排列成 “H” 形結構,負載(如電機)位于中間橫杠位置。四個開關分為兩組對角對(Q1/Q4 和 Q2/Q3),通過控制它們的通斷組合實現電流方向切換。關鍵元件包括開關器件和續流二極管。續流二極管的主要作用是防止反向電壓損壞電路,保護開關器件和負載免受電壓沖擊。
三、H 橋電路的電源連接
電源連接方式為上端接電源正極,下端接地,負載兩端分別連接左右開關節點。這種連接方式確保了電路的穩定性和安全性,同時為負載提供了合適的電壓和電流條件。
四、H 橋電路的工作原理
(一)正轉模式
當導通 Q1 和 Q4 時,電流路徑為:電源正極 → Q1 → 負載 → Q4 → 電源負極。這種電流流向驅動負載(如電機)正向運轉,適用于需要正向運動的應用場景。
(二)反轉模式
導通 Q2 和 Q3 時,電流反向流動:電源正極 → Q2 → 負載 → Q3 → 電源負極。這種電流流向使負載反向運動,適用于需要改變運動方向的操作。
(三)逆變功能
通過交替切換正反轉模式(如方波調制),H 橋電路可將直流電轉換為交流電。配合濾波器后,可輸出較為平滑的正弦波,滿足對交流電源質量要求較高的應用需求。
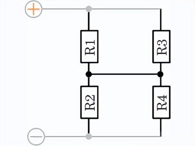
五、H 橋電路原理圖解析
在 H 橋電路原理圖中,圖中間的導電路徑具有特定的電壓關系。R2 兩端的電壓等于 R4 兩端的電壓,R1 兩端的電壓等于 R3 兩端的電壓,且這些電壓關系與四個電阻的電阻值無關。
如果兩個分支之間沒有電橋,中點的電位取決于電阻值的比率。當 R1 : R2 等于 R3 : R4 時,即使沒有電橋,電勢差也為零。這種特性在電路設計中具有重要意義,可用于實現電壓的平衡和穩定。


六、上臂 PMOS 與下臂 NMOS 的協同工作
該橋電路由兩個 P 型場效應管(Q2)和兩個 N 型場效應管(Q4)組成,因此被稱為 P - NMOS 管 H 橋。這些場效應管在橋臂上充當開關的角色,其中 P 型管在柵極電壓為低時導通,高時關閉;而 N 型管則在柵極電壓為高時導通,低時關閉。
(一)正轉控制
當按照特定方式連接電路并控制臂 1 置高電平(U = VCC)、控制臂 2 置低電平(U = 0)時,Q1 和 Q4 將關閉,而 Q2 和 Q3 則會導通。這將導致電機左端呈現低電平,右端則為高電平,從而使得電流沿箭頭方向流動,實現電機的正轉。


(二)反轉控制
當控制臂 1 置為低電平(U = 0),而控制臂 2 置為高電平(U = VCC)時,Q2 和 Q3 將關閉,而 Q1 和 Q4 則會導通。這一操作將導致電機左端呈現高電平,右端則為低電平,進而使電流反向流動,即實現電機的反轉。


(三)停止狀態
當控制臂 1 和控制臂 2 都處于低電平狀態時,Q1 和 Q2 將導通,而 Q3 和 Q4 將關閉。這將導致電機兩端都呈現高電平,從而阻止電流流動,電機因此不會轉動。相反,當控制臂 1 和控制臂 2 都處于高電平狀態時,Q1 和 Q2 將關閉,而 Q3 和 Q4 將導通。這同樣會使電機兩端都呈現低電平,電機同樣不會轉動。這種設計確保了無論控制臂的狀態如何(必須避免懸空狀態),H 橋都不會出現 “共態導通” 的情況,從而避免了短路的可能性。
〈烜芯微/XXW〉專業制造二極管,三極管,MOS管,橋堆等,20年,工廠直銷省20%,上萬家電路電器生產企業選用,專業的工程師幫您穩定好每一批產品,如果您有遇到什么需要幫助解決的,可以直接聯系下方的聯系號碼或加QQ/微信,由我們的銷售經理給您精準的報價以及產品介紹
聯系號碼:18923864027(同微信)
QQ:709211280

